SOLUTION: 4xy+3=5z; y Its a literal equation solve for y
Algebra
->
Polynomials-and-rational-expressions
-> SOLUTION: 4xy+3=5z; y Its a literal equation solve for y
Log On
Algebra: Polynomials, rational expressions and equations
Section
Solvers
Solvers
Lessons
Lessons
Answers archive
Answers
Click here to see ALL problems on Polynomials-and-rational-expressions
Question 490984
:
4xy+3=5z; y
Its a literal equation
solve for y
Answer by
ccs2011(207)
(
Show Source
):
You can
put this solution on YOUR website!
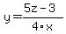
-->
Get y by itself by using inverse operations
Move the 3 to other side by subtracting 3 on both sides
-->
Move the 4x to other side by dividing 4x on both sides
-->