SOLUTION: Multiply: (2x^5+4)(2x^5-4)
Algebra
->
Polynomials-and-rational-expressions
-> SOLUTION: Multiply: (2x^5+4)(2x^5-4)
Log On
Algebra: Polynomials, rational expressions and equations
Section
Solvers
Solvers
Lessons
Lessons
Answers archive
Answers
Click here to see ALL problems on Polynomials-and-rational-expressions
Question 478998
:
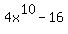
Multiply:
(2x^5+4)(2x^5-4)
Answer by
emargo19(101)
(
Show Source
):
You can
put this solution on YOUR website!
(2x^5+4)(2x^5-4)
=
=