SOLUTION: Hello. My question is When a polynomial P(x) is divided by 2x+1, the quotient is {{{x^2-x+4}}} and the remainder is 3. Find P(x). Thanks in advance.

Algebra ->  Polynomials-and-rational-expressions -> SOLUTION: Hello. My question is When a polynomial P(x) is divided by 2x+1, the quotient is {{{x^2-x+4}}} and the remainder is 3. Find P(x). Thanks in advance.      Log On


   



Question 478857: Hello. My question is When a polynomial P(x) is divided by 2x+1, the quotient is x%5E2-x%2B4 and the remainder is 3. Find P(x). Thanks in advance.
Answer by Edwin McCravy(20064) About Me  (Show Source):
You can put this solution on YOUR website!
My question is When a polynomial P(x) is divided by 2x+1, the quotient is x%5E2-x%2B4 and the remainder is 3
%22P%28x%29%22%2F%282x%2B1%29+=%28x%5E2-x%2B4%29+%2B+3%2F%282x%2B1%29

Multiply through by (2x+1)

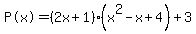
%22P%28x%29%22=%282x%2B1%29%28x%5E2-x%2B4%29+%2B+3

%22P%28x%29%22=2x%5E3-2x%5E2%2B8x%2Bx%5E2-x%2B4+%2B+3

%22P%28x%29%22=2x%5E3-x%5E2%2B7x%2B7

Checking:

             x² -  x + 4 
2x + 1)2x³ - x² + 7x + 7
       2x³ + x²
           -2x² + 7x
           -2x² -  x
                  8x + 7
                  8x + 4
                       3

Edwin