SOLUTION: log x-1=-3 9
Algebra
->
Polynomials-and-rational-expressions
-> SOLUTION: log x-1=-3 9
Log On
Algebra: Polynomials, rational expressions and equations
Section
Solvers
Solvers
Lessons
Lessons
Answers archive
Answers
Click here to see ALL problems on Polynomials-and-rational-expressions
Question 478312
:
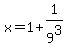
log x-1=-3
9
Answer by
Alan3354(69443)
(
Show Source
):
You can
put this solution on YOUR website!
If it's base 9:
x = 730/729