SOLUTION: multiply (-2x)^2(4x^4)^2 ^means raising to that power
Algebra
->
Polynomials-and-rational-expressions
-> SOLUTION: multiply (-2x)^2(4x^4)^2 ^means raising to that power
Log On
Algebra: Polynomials, rational expressions and equations
Section
Solvers
Solvers
Lessons
Lessons
Answers archive
Answers
Click here to see ALL problems on Polynomials-and-rational-expressions
Question 475775
:
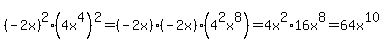
multiply
(-2x)^2(4x^4)^2
^means raising to that power
Answer by
MathLover1(20850)
(
Show Source
):
You can
put this solution on YOUR website!