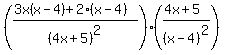
SOLUTION: Multiply {{{ ((3x^2-10x-8)/(4x + 5)^2) * ((4x + 5)/(x-4)^2) }}}
Algebra
->
Polynomials-and-rational-expressions
-> SOLUTION: Multiply {{{ ((3x^2-10x-8)/(4x + 5)^2) * ((4x + 5)/(x-4)^2) }}}
Log On
Algebra: Polynomials, rational expressions and equations
Section
Solvers
Solvers
Lessons
Lessons
Answers archive
Answers
Click here to see ALL problems on Polynomials-and-rational-expressions
Question 474379
:
Multiply
Answer by
mananth(16946)
(
Show Source
):
You can
put this solution on YOUR website!