SOLUTION: Use the FOIL method to find the product (4x^6-3)(x^8-9)
Algebra
->
Polynomials-and-rational-expressions
-> SOLUTION: Use the FOIL method to find the product (4x^6-3)(x^8-9)
Log On
Algebra: Polynomials, rational expressions and equations
Section
Solvers
Solvers
Lessons
Lessons
Answers archive
Answers
Click here to see ALL problems on Polynomials-and-rational-expressions
Question 470924
:
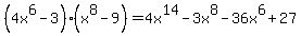
Use the FOIL method to find the product
(4x^6-3)(x^8-9)
Answer by
Alan3354(69443)
(
Show Source
):
You can
put this solution on YOUR website!