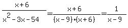
SOLUTION: Write the rational expression in the simplest form, with domain restrictions. x + 6 x2 − 3x − 54
Algebra
->
Polynomials-and-rational-expressions
-> SOLUTION: Write the rational expression in the simplest form, with domain restrictions. x + 6 x2 − 3x − 54
Log On
Algebra: Polynomials, rational expressions and equations
Section
Solvers
Solvers
Lessons
Lessons
Answers archive
Answers
Click here to see ALL problems on Polynomials-and-rational-expressions
Question 470582
:
Write the rational expression in the simplest form, with domain restrictions.
x + 6
x2 − 3x − 54
Answer by
sofiyac(983)
(
Show Source
):
You can
put this solution on YOUR website!
you didn't copy it right, shouldn't it be a division?
restriction: x can't be equal to 9