SOLUTION: Can you show me the steps for this problem? sqrt 25 + sqrt 144 =
Algebra
->
Polynomials-and-rational-expressions
-> SOLUTION: Can you show me the steps for this problem? sqrt 25 + sqrt 144 =
Log On
Algebra: Polynomials, rational expressions and equations
Section
Solvers
Solvers
Lessons
Lessons
Answers archive
Answers
Click here to see ALL problems on Polynomials-and-rational-expressions
Question 469868
:
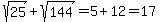
Can you show me the steps for this problem?
sqrt 25 + sqrt 144 =
Answer by
sofiyac(983)
(
Show Source
):
You can
put this solution on YOUR website!
is 5 since 5*5 is 25
and
is 12 since 12*12 is 144
so you have