SOLUTION: Describe the mathematic process of canceling like factors when working with rational expressions & demonstrate this with an example.

Algebra ->  Polynomials-and-rational-expressions -> SOLUTION: Describe the mathematic process of canceling like factors when working with rational expressions & demonstrate this with an example.      Log On


   



Question 469784: Describe the mathematic process of canceling like factors when working with rational expressions & demonstrate this with an example.
Answer by ccs2011(207) About Me  (Show Source):
You can put this solution on YOUR website!
Canceling like factors is no different than simplifying or reducing since any number divided by itself is always 1.
Say we want to reduce the fraction 18%2F24
First break it into factors and cancel like factors:
%286%2A3%29%2F%286%2A4%29+=+%286%2F6%29%2A%283%2F4%29+=+1%2A%283%2F4%29+=+3%2F4
Rule of thumb is once top and bottom are completely factored, then any like factors which are both on top and bottom may be cancelled since there quotient will be 1.
Simplifying rational expressions is no different, except the factors may be polynomials instead of integers.
Ex:
Simplify %28%283x-9%29%28x%5E2%2B2x%2B1%29%29%2F%286x%5E2+-12x+-18%29
completely factor top and bottom:
3x-9 = 3(x-3)
x^2+2x+1 = (x+1)(x+1) = (x+1)^2
6x^2 -12x -18 = 6(x^2 - 2x -3) = 6(x+1)(x-3)
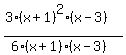
Factored expression: %283%28x%2B1%29%5E2%28x-3%29%29%2F%286%28x%2B1%29%28x-3%29%29
Notice both (x+1) and (x-3) have like factors on top and bottom of fraction
Reduce expression by cancelling these like factors
**Note: (x+1)^2 = (x+1)(x+1) Only 1 of these factors on top will cancel because there is only 1 (x+1) on bottom **
After cancelling: 3%28x%2B1%29%2F6
Reduce fraction 3/6 to 1/2
--> %28x%2B1%29%2F2