Question 469720: i dont understand how to put this in interval notation. (x^2+2x-8/x+1) less than or equal to 0.
i get to x=-4 x=2 x=-1 just need help putting it in interval notation. thanks!
Answer by ccs2011(207) (Show Source):
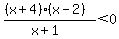
You can put this solution on YOUR website! Ok first off notice when x = -1, the function becomes undefined
So when stating the domain, do not include x = -1.
Yes you have correctly identified the zeroes, x=-4 and x = 2.
But when is the function less than zero.

There are 3 factors to consider:
x+4 < 0 --> x < -4
x-2 < 0 --> x < 2
x+1 < 0 --> x < -1
**Note: Multiplying/Dividing 2 negative numbers equal a positive number**
When x < -4, it satisfies all 3 conditions making each factor negative thus making the entire expression negative
When -4 < x < -1, it satisfies 2 conditions making 2 factors negative thus making entire expression positive
When -1 < x < 2, it satisfies 1 condition making 1 factor negative thus making entire expression negative
When x > 2, all factors are positive thus expression is positive
Therefore, expression is less than or equal to zero when x <= -4 and -1 < x <= 2
In interval notation, use brackets and parenthesis instead of "<" symbols
Domain: ( ,-4]U(-1,2]
|
|
|