SOLUTION: Factoring Perfect squares 16y2+8y+1
Algebra
->
Polynomials-and-rational-expressions
-> SOLUTION: Factoring Perfect squares 16y2+8y+1
Log On
Algebra: Polynomials, rational expressions and equations
Section
Solvers
Solvers
Lessons
Lessons
Answers archive
Answers
Click here to see ALL problems on Polynomials-and-rational-expressions
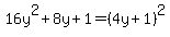
Question 453531
:
Factoring Perfect squares
16y2+8y+1
Answer by
robertb(5830)
(
Show Source
):
You can
put this solution on YOUR website!