(sub subject is Factoring)
solve
please justify your answer thank you
Another WRONG answer by the other person.
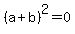
is in the form:
, NOT
, as the other person states.
So, it should be
, NOT
.
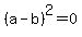
Therefore, we get:
----- Taking square root of both sides
7a - 4 = 0
7a = 4
DOUBLE Roots/Solutions are located at 