SOLUTION: simplify by removing factors of 1 z^2-9z+20/z^2+z-30

Algebra ->  Polynomials-and-rational-expressions -> SOLUTION: simplify by removing factors of 1 z^2-9z+20/z^2+z-30      Log On


   



Question 449634: simplify by removing factors of 1 z^2-9z+20/z^2+z-30
Answer by Gogonati(855) About Me  (Show Source):
You can put this solution on YOUR website!
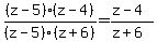
First we factor the nominator and denominator of the rational expression and after reduce the same factors:
=%28z-5%29%28z-4%29%2F%28z-5%29%28z%2B6%29=%28z-4%29%2F%28z%2B6%29