SOLUTION: Factor: 1. 3r^7 - 192r^4= Factor by grouping: 2. 3x^3- 27x^2 - 4x + 36 Factor: 3. a^3 – 49a^2 – 9a + 441 Multiply: 4. (x^4 +x^3)(x^4+ x^3- x^2) Add: 5. (9 + 5x +6x^2 + 8x

Algebra ->  Polynomials-and-rational-expressions -> SOLUTION: Factor: 1. 3r^7 - 192r^4= Factor by grouping: 2. 3x^3- 27x^2 - 4x + 36 Factor: 3. a^3 – 49a^2 – 9a + 441 Multiply: 4. (x^4 +x^3)(x^4+ x^3- x^2) Add: 5. (9 + 5x +6x^2 + 8x      Log On


   



Question 448578: Factor:
1. 3r^7 - 192r^4=
Factor by grouping:
2. 3x^3- 27x^2 - 4x + 36
Factor:
3. a^3 – 49a^2 – 9a + 441
Multiply:
4. (x^4 +x^3)(x^4+ x^3- x^2)
Add:
5. (9 + 5x +6x^2 + 8x^3) + (4 – 5x +6x^2 – 8x^3)

Found 3 solutions by stanbon, jim_thompson5910, solver91311:
Answer by stanbon(75887) About Me  (Show Source):
You can put this solution on YOUR website!
Factor:
1. 3r^7 - 192r^4
= 3r^4[r^3-64]
= 3r^4(r-4)(r^2+4r+16)
================================
Factor by grouping:
2. 3x^3- 27x^2 - 4x + 36
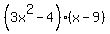
3x^2(x-9) -4(x-9)
=(x-9)(3x^2-4)
================================
Factor:
3. a^3 – 49a^2 – 9a + 441
= a^2(a-49)-9(a-49)
= (a-49)(a-3)(a+3)
================================
Multiply:
4. (x^4 +x^3)(x^4+ x^3- x^2)
Multiply each term of the 1st factor times
each term of the 2nd factor.
The add the like terms.
===================================
Add:
5. (9 + 5x +6x^2 + 8x^3) + (4 – 5x +6x^2 – 8x^3)
Add the like terms:
= 13 + 0 +12x^2 + 0
----
= 12x^2+13
===============
Cheers,
Stan H.

Answer by jim_thompson5910(35256) About Me  (Show Source):
You can put this solution on YOUR website!
Please only post one problem at a time. I'll do the first two to get you started.

# 1
3r%5E7+-+192r%5E4


3r%5E4%28r%5E3+-+64%29


3r%5E4%28r-4%29%28r%5E2%2B4r%2B16%29


So 3r%5E7+-+192r%5E4=3r%5E4%28r-4%29%28r%5E2%2B4r%2B16%29

-----------------------------------------------------------------------------
# 2

3x%5E3-+27x%5E2+-+4x+%2B+36


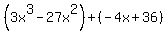
%283x%5E3-+27x%5E2%29%2B%28+-+4x+%2B+36%29


3x%5E2%28x-+9%29-4%28x-9%29


%283x%5E2-4%29%28x-9%29


So 3x%5E3-+27x%5E2+-+4x+%2B+36=%283x%5E2-4%29%28x-9%29

Answer by solver91311(24713) About Me  (Show Source):
You can put this solution on YOUR website!


Let me share something with you.

On the webpage where you submit your question, there is a block of text entitled "Read these RULES before submitting your question"

Here is one of those rules: "One problem per submission."

So my question to you is: Did you not read the rules even though the page says to read them, or did you read them but believe that you are somehow special or more important than anyone else such that the rules don't apply to you?

John

My calculator said it, I believe it, that settles it
The Out Campaign: Scarlet Letter of Atheism