SOLUTION: The problem says to solve 3/(x-3) - 2/(x-4) = -3/(x-3)(x-4) please include the steps you took to get this answer

Algebra ->  Polynomials-and-rational-expressions -> SOLUTION: The problem says to solve 3/(x-3) - 2/(x-4) = -3/(x-3)(x-4) please include the steps you took to get this answer      Log On


   



Question 446796: The problem says to solve 3/(x-3) - 2/(x-4) = -3/(x-3)(x-4)
please include the steps you took to get this answer

Answer by mananth(16946) About Me  (Show Source):
You can put this solution on YOUR website!
3/(x-3) - 2/(x-4) = -3/(x-3)(x-4)
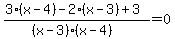
%283%2F%28x-3%29%29+-+%282%2F%28x-4%29%29+%2B%283%2F%28x-3%29%28x-4%29%29=0
LCD = (x-3)(x-4)
multiply the eq by the LCD
%283%28x-4%29-2%28x-3%29%2B3%29%2F%28%28x-3%29%28x-4%29%29=0
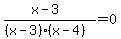
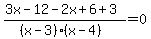
%283x-12-2x%2B6%2B3%29%2F%28%28x-3%29%28x-4%29%29=0
%28x-3%29%2F%28%28x-3%29%28x-4%29%29=0
%28cross%28x-3%29%29%2F%28%28cross%28x-3%29%29%28x-4%29%29=0
1%2F%28x-4%29=0
x=4
m.ananth@hotmail.ca