Quadratic equation (in our case ) has the following solutons:

For these solutions to exist, the discriminant should not be a negative number.
First, we need to compute the discriminant : .
The discriminant -480 is less than zero. That means that there are no solutions among real numbers.
If you are a student of advanced school algebra and are aware about imaginary numbers, read on.
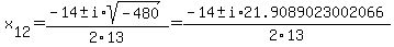
In the field of imaginary numbers, the square root of -480 is + or - .
The solution is , or
Here's your graph:
 |