SOLUTION: 31.) Add. v/(vē-2v-3) + 5/(v+1) The sum is ? Please help!!! thanks

Algebra ->  Polynomials-and-rational-expressions -> SOLUTION: 31.) Add. v/(vē-2v-3) + 5/(v+1) The sum is ? Please help!!! thanks      Log On


   



Question 436479: 31.) Add.
v/(vē-2v-3) + 5/(v+1)
The sum is ?
Please help!!! thanks

Answer by mananth(16946) About Me  (Show Source):
You can put this solution on YOUR website!
%28v%2F%28v%5E2-2v%2B3%29%29+%2B+%285%2F%28v%2B1%29%29
v%2F%28%28v-3%29%28v%2B1%29%29+%2B+5%2F%28v%2B1%29
LCD = (v+1)(v-3)
multiply by LCD
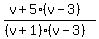
%28v%2B5%28v-3%29%29%2F%28%28v%2B1%29%28v-3%29%29

%28v%2B5v-15%29%2F%28v%2B1%29%28v-3%29
%286v-15%29%2F%28v%2B1%29%28v-3%29
%283%282v-5%29%29%2F%28v%2B1%29%28v-3%29