SOLUTION: Write in simplest form {{{(3/(x^2+4x+3))-(1/(x^2-9))}}} 3 divided by x^2 + 4x + 3 minus 1 divided by

Algebra ->  Polynomials-and-rational-expressions -> SOLUTION: Write in simplest form {{{(3/(x^2+4x+3))-(1/(x^2-9))}}} 3 divided by x^2 + 4x + 3 minus 1 divided by      Log On


   



Question 42080: Write in simplest form
%283%2F%28x%5E2%2B4x%2B3%29%29-%281%2F%28x%5E2-9%29%29
3 divided by
x^2 + 4x + 3


minus

1 divided by
X^2 - 9

Found 2 solutions by psbhowmick, PaulAllen65270:
Answer by psbhowmick(878) About Me  (Show Source):
You can put this solution on YOUR website!
3%2F%28x%5E2+%2B+4x+%2B+3%29
= 3%2F%28x%5E2+%2B+x+%2B+3x+%2B+3%29
= 3%2F%28x%28x+%2B+1%29+%2B+3%28x+%2B+1%29%29
= 3%2F%28%28x%2B1%29%28x%2B3%29%29


1%2F%28x%5E2-9%29
= 1%2F%28%28x%2B3%29%28x-3%29%29


Hence, 3%2F%28x%5E2+%2B+4x+%2B+3%29+-+1%2F%28x%5E2-9%29
= 3%2F%28%28x%2B1%29%28x%2B3%29%29+-+1%2F%28%28x%2B3%29%28x-3%29%29
= %283%28x-3%29+-+1%28x%2B1%29%29%2F%28%28x%2B1%29%28x%2B3%29%28x-3%29%29
= %282x+-+10%29%2F%28%28x%2B1%29%28x%2B3%29%28x-3%29%29
= 2%28x-5%29%2F%28%28x%2B1%29%28x%2B3%29%28x-3%29%29

Answer by PaulAllen65270(19) About Me  (Show Source):
You can put this solution on YOUR website!
You work this one like anyother fraction you must first find the LCD but to do this you need to factor the denominator
%283%2F%28x%5E2%2B4x%2B3%29%29-%281%2F%28x%5E2-9%29%29
%283%2F%28x%2B3%29%28x%2B1%29%29-%281%2F%28x-3%29%28x%2B3%29%29 now you can see that the LCD is (x+3)(x+1)(x-3)
Now you can subtract fractions.
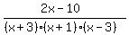
%28%283x-9%29-%28x%2B1%29%29%2F%28%28x%2B3%29%28x%2B1%29%28x-3%29%29
%283x-9-x-1%29%2F%28%28x%2B3%29%28x%2B1%29%28x-3%29%29
%282x-10%29%2F%28%28x%2B3%29%28x%2B1%29%28x-3%29%29 That is the answer since you can not get it any simpler.