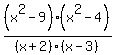
SOLUTION: Multiply and express the product in simplest form: x^2-9/x+2 X x^2-4/x-3
Algebra
->
Polynomials-and-rational-expressions
-> SOLUTION: Multiply and express the product in simplest form: x^2-9/x+2 X x^2-4/x-3
Log On
Algebra: Polynomials, rational expressions and equations
Section
Solvers
Solvers
Lessons
Lessons
Answers archive
Answers
Click here to see ALL problems on Polynomials-and-rational-expressions
Question 418558
:
Multiply and express the product in simplest form: x^2-9/x+2 X x^2-4/x-3
Answer by
ewatrrr(24785)
(
Show Source
):
You can
put this solution on YOUR website!
Hi
( x^2-9)/(x+2) X (x^2-4)/(x-3) |Note the use of() to clarify