Question 41752: Rational equations
Juanelda’s doctor has prescribed medication that she must take every 5 hours. She started the medication at 10:00am on Thursday. What is the first day on which she will take her medication at noon? Write an equation that will prove this answer.
Thank you.
OK SO I THINK ITS ON A SATERDAY BUT I DONT KNOW HOW TO WRITE AN EQUATION TO PROVE THIS ANSWER.
I JUST WENT 10:00AM THURSDAY, 3:00PM tHURSDAY, 8:00PM THURSDAY, 1:00AM FRIDAY, 6:00AM FRIDAY, 11:00AM FRIDAY, 4:00PM FRIDAY, 9:00PM FRIDAY, 2:00AM SATERDAY, 7:00AM SATERDAY, 12:00PM NOON SATERDAY
Answer by psbhowmick(878) (Show Source):
You can put this solution on YOUR website! Let us count time from Thursday 0 (zero) hrs.
Let us denote the time at which she will take her first medication at noon, counted from 0 hrs Thursday, be 't' hours.
So 't' must be an integral multiple of 12 but not an integral multiple of 24 (for in that case it will be 12pm i.e. night and not noon).
So let where m = an odd positive integer (as 't' cannot be a multiple of 24)
Further, suppose that her first medication at noon is actually her n-th medication.
Then, the time elapsed counted from 10 am Thursday upto that when she takes her first medication at noon is .
Then, the time elapsed counted from 0 hrs Thursday upto that when she takes her first medication at noon is .
Thus we can write, t = 5(n - 1) + 10
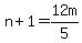
or 12m = 5(n + 1)
or 
or
Now, 'n' = no. of times of occurance of an event, so has to be a positive whole number.
So has got to be positive integer or has got to be positive integer.
Also 'm' can attain only odd integral values and 'm' has to be least among all the values of 'm' for which the above equation holds (This is because otherwise n-th time will not be the first time of medication at noon).
So we take m = 5, n = 11;
Thus, 11th medication is the first one done at noon.
Now, t = 12 x 5 = 60 = 2 x 24 + 12.
So 2 and a half day has elapsed (from Thursday 0 hrs) when the girl takes her first medication at noon.
Hence the answer.
|
|
|