Question 40363: The hypotenuse of a right triangle is 6m long. One leg is 1m longer than the other find the length of the shorter leg.
Thank you Answer by Nate(3500) (Show Source):
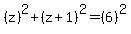
You can put this solution on YOUR website! One leg's size = z
Other leg's size = x
Equation:
Use pythagorus's theorm: is about 3.71m is about 4.71m