SOLUTION: I have to simplify 9x^2-4/3x^2-5x+2*9x^4-6x^3+4x^2/27x^4+8x I am able to simplify the first part of the expression(9x^2-4/3x^2-5x+2)but i need help on simplifying the second par

Algebra ->  Polynomials-and-rational-expressions -> SOLUTION: I have to simplify 9x^2-4/3x^2-5x+2*9x^4-6x^3+4x^2/27x^4+8x I am able to simplify the first part of the expression(9x^2-4/3x^2-5x+2)but i need help on simplifying the second par      Log On


   



Question 401903: I have to simplify 9x^2-4/3x^2-5x+2*9x^4-6x^3+4x^2/27x^4+8x
I am able to simplify the first part of the expression(9x^2-4/3x^2-5x+2)but i need help on simplifying the second part.

Answer by MathLover1(20850) About Me  (Show Source):
You can put this solution on YOUR website!
the second part:
%289x%5E4-6x%5E3%2B4x%5E2%29%2F%2827x%5E4%2B8x+%29
x%5E2%289x%5E2-6x%2B4%29%2Fx%2827x%5E3%2B8+%29
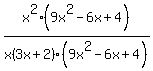
x%5E2%289x%5E2-6x%2B4%29%2Fx%28%283x%29%5E3%2B2%5E3%29
x%5E2%289x%5E2-6x%2B4%29%2Fx%283x%2B2%29%289x%5E2-6x%2B4%29.......


x%2F%283x%2B2%29