SOLUTION: Use rational exponents to write {{{drawing(180,80,0,10,-20,10,locate(0,0,(x^(1/6))(y^(1/2))(z^(1/4))))}}} as a single radical expression. A. {{{root(48, xyz)}}} B. {{{root(1

Algebra ->  Polynomials-and-rational-expressions -> SOLUTION: Use rational exponents to write {{{drawing(180,80,0,10,-20,10,locate(0,0,(x^(1/6))(y^(1/2))(z^(1/4))))}}} as a single radical expression. A. {{{root(48, xyz)}}} B. {{{root(1      Log On


   



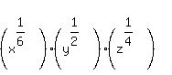
Question 397804: Use rational exponents to write

as a single radical expression.
A. root%2848%2C+xyz%29
B. root%2812%2C+%28xyz%29%5E11%29%29
C. root%2812%2C+%28x%5E2%29%28y%5E6%29%28z%5E3%29%29
D. root%2812%2C+xyz%29

Answer by Edwin McCravy(20060) About Me  (Show Source):
You can put this solution on YOUR website!
Use rational exponents to write

as a single radical expression.
A. root%2848%2C+xyz%29
B. root%2812%2C+%28xyz%29%5E11%29%29
C. root%2812%2C+%28x%5E2%29%28y%5E6%29%28z%5E3%29%29
D. root%2812%2C+xyz%29




Get a least common denominator of 12 for the rational exponents:

expr%281%2F6%29%282%2F2%29=2%2F12,    expr%281%2F2%29%286%2F6%29=6%2F12,    expr%281%2F4%29%283%2F3%29=3%2F12



Change each to a radical with index 12:

root%2812%2Cx%5E2%29%2Aroot%2812%2Cy%5E6%29%2Aroot%2812%2Cz%5E3%29

Multiply under the radicals:

root%2812%2C+x%5E2y%5E6z%5E3%29




Edwin