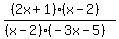
SOLUTION: reduce to lowest terms: 2x^2 - 3x - 2 ----------- -- 10 + x - 3x^2

Algebra ->  Polynomials-and-rational-expressions -> SOLUTION: reduce to lowest terms: 2x^2 - 3x - 2 ----------- -- 10 + x - 3x^2       Log On


   



Question 39499: reduce to lowest terms: 2x^2 - 3x - 2
--------------
10 + x - 3x^2

Answer by Nate(3500) About Me  (Show Source):