SOLUTION: Find all numbers for which the rational expression is undefined for q^3-2q/q^2-4?
Algebra
->
Polynomials-and-rational-expressions
-> SOLUTION: Find all numbers for which the rational expression is undefined for q^3-2q/q^2-4?
Log On
Algebra: Polynomials, rational expressions and equations
Section
Solvers
Solvers
Lessons
Lessons
Answers archive
Answers
Click here to see ALL problems on Polynomials-and-rational-expressions
Question 394849
:
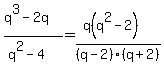
Find all numbers for which the rational expression is undefined for q^3-2q/q^2-4?
Answer by
robertb(5830)
(
Show Source
):
You can
put this solution on YOUR website!
.
Therefore the rational expression is undefined for q = 2, -2.