Question 38591: I previously asked this and no one answered. Please help!!
Add. Express answer in simplest form
4x/x^2-18x+72 + 4/x-6 Found 2 solutions by fractalier, rapaljer:Answer by fractalier(6550) (Show Source):
You can put this solution on YOUR website! From
4x/)x^2-18x+72) + 4/(x-6)
we factor the denominator of the first fraction and get
4x/(x-12)(x-6) + 4/(x-6)
Notice that if we multiply the second fractaion by (x-12)/(x-12), we will have common denominators...so
4x/(x-12)(x-6) + 4(x-12)/(x-6)(x-12) =
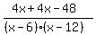
(4x + 4x - 48) / (x-6)(x-12) =
8x-48 / (x-6)(x-12) =
8(x-6) / (x-6)(x-12) =
8 / (x-12)
Notice that the first denominator probably factors, and looking at the second denominator you might suspect that one of the factors is (x-6). Indeed it is!! The first denominator factors into (x-6)(x-12). Isn't that a coincidence???
In order to get a common denominator, you need to multiply the numerator and denominator of the second fraction by (x-12). It should now look like this:
Now, the denominator of the answer is the LCD, which is (x-6)(x-12).
To get the numerator, just add the numerators of the two fractions:
This factors into
and the fraction reduces by dividing out the (x-6) factors:
Nice problem!! I'm sorry no one answered it earlier for you! I have not had much time lately!