SOLUTION: Can't seem to understand this? Could someone please explain? thank you! Essay: Show all work. Find the quotient: y^4+7y+1/y^2-9

Algebra ->  Polynomials-and-rational-expressions -> SOLUTION: Can't seem to understand this? Could someone please explain? thank you! Essay: Show all work. Find the quotient: y^4+7y+1/y^2-9       Log On


   



Question 383422: Can't seem to understand this? Could someone please explain? thank you!
Essay: Show all work. Find the quotient: y^4+7y+1/y^2-9

Answer by Fombitz(32388) About Me  (Show Source):
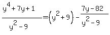
You can put this solution on YOUR website!

          y^2 + 9 
        ______________________________
y^2 - 9 | y^4 + 0y^3 + 0y^2 + 7y +  1
      -  (y^4 + 0y^3 - 9y^3)
       ---------------------
                       9y^2 
                    - (9y^2 + 0y - 81)
                    ------------------
                              7y - 82
                 

%28y%5E4%2B7y%2B1%29%2F%28y%5E2-9%29=%28y%5E2%2B9%29-%287y-82%29%2F%28y%5E2-9%29