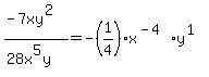
SOLUTION: steps to simplify completely -7xy^2/ 28x^5y

Algebra ->  Polynomials-and-rational-expressions -> SOLUTION: steps to simplify completely -7xy^2/ 28x^5y       Log On