Question 374474: I have a hard time factoring. Please help!
Factor completely.
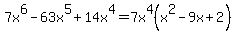
7x^6-63x^5+14x^4
Answer by jim_thompson5910(35256) (Show Source):
You can put this solution on YOUR website!
Start with the given expression.
Factor out the GCF .
Now let's try to factor the inner expression
---------------------------------------------------------------
Looking at the expression , we can see that the first coefficient is , the second coefficient is , and the last term is .
Now multiply the first coefficient by the last term to get .
Now the question is: what two whole numbers multiply to (the previous product) and add to the second coefficient ?
To find these two numbers, we need to list all of the factors of (the previous product).
Factors of :
1,2
-1,-2
Note: list the negative of each factor. This will allow us to find all possible combinations.
These factors pair up and multiply to .
1*2 = 2
(-1)*(-2) = 2
Now let's add up each pair of factors to see if one pair adds to the middle coefficient :
First Number | Second Number | Sum | 1 | 2 | 1+2=3 | -1 | -2 | -1+(-2)=-3 |
From the table, we can see that there are no pairs of numbers which add to . So cannot be factored.
===============================================================
Answer:
So simply factors to
In other words, .
If you need more help, email me at jim_thompson5910@hotmail.com
Also, feel free to check out my tutoring website
Jim
|
|
|