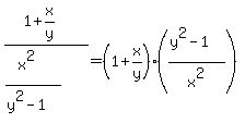
SOLUTION: 1 + x/y divided by x^2 / y^2 - 1 simplify the given complex rational expression
Algebra
->
Polynomials-and-rational-expressions
-> SOLUTION: 1 + x/y divided by x^2 / y^2 - 1 simplify the given complex rational expression
Log On
Algebra: Polynomials, rational expressions and equations
Section
Solvers
Solvers
Lessons
Lessons
Answers archive
Answers
Click here to see ALL problems on Polynomials-and-rational-expressions
Question 370118
:
1 + x/y divided by x^2 / y^2 - 1
simplify the given complex rational expression
Answer by
Fombitz(32388)
(
Show Source
):
You can
put this solution on YOUR website!