SOLUTION: 3x^2 - 12 / x^2 + 2x - 8 divided by 6x + 18 / x + 4 Divide as indicated

Algebra ->  Polynomials-and-rational-expressions -> SOLUTION: 3x^2 - 12 / x^2 + 2x - 8 divided by 6x + 18 / x + 4 Divide as indicated      Log On


   



Question 370115: 3x^2 - 12 / x^2 + 2x - 8 divided by 6x + 18 / x + 4
Divide as indicated

Answer by jsmallt9(3759) About Me  (Show Source):
You can put this solution on YOUR website!
%28%283x%5E2+-+12%29%2F%28x%5E2+%2B+2x+-+8%29%29%2F%28%286x+%2B+18%29%2F%28x+%2B+4%29%29
To divide a fraction by a fraction we change it to multiplication and invert the divisor:
%28%283x%5E2+-+12%29%2F%28x%5E2+%2B+2x+-+8%29%29%2A%28%28x+%2B+4%29%2F%286x+%2B+18%29%29
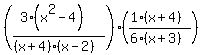
Next, as you probably learned when first multiplying fractions, it is to your advantage to cancel, if possible, before multiplying. Since only factors may be canceled, I will now factor each numerator and denominator:


Now we can cancel the factors that are common to both the numerators and denominators:

which leaves us with:
%28%28x%2B2%29%2F1%29%2A%281%2F%282%2A%28x+%2B+3%29%29%29
Now the multiplying is much easier than if we had not canceled first:
%28x%2B2%29%2F%282x%2B6%29