SOLUTION: what is the solution to (2x-14)/(x^(2)-4x-21)÷ x+3

Algebra ->  Polynomials-and-rational-expressions -> SOLUTION: what is the solution to (2x-14)/(x^(2)-4x-21)÷ x+3      Log On


   



Question 368205: what is the solution to (2x-14)/(x^(2)-4x-21)÷ x+3
Answer by Fombitz(32388) About Me  (Show Source):
You can put this solution on YOUR website!
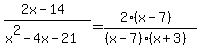
Let's simplify first.
%282x-14%29%2F%28x%5E2-4x-21%29=%282%28x-7%29%29%2F%28%28x-7%29%28x%2B3%29%29
%282x-14%29%2F%28x%5E2-4x-21%29=2%2F%28x%2B3%29%29
So then,
%28%282x-14%29%2F%28x%5E2-4x-21%29%29%2F%28x%2B3%29=%282%2F%28x%2B3%29%29%2F%28x%2B3%29
%28%282x-14%29%2F%28x%5E2-4x-21%29%29%2F%28x%2B3%29=highlight%282%2F%28x%2B3%29%5E2%29