SOLUTION: x-1/5x+4 = 2/x+2

Algebra ->  Polynomials-and-rational-expressions -> SOLUTION: x-1/5x+4 = 2/x+2      Log On


   



Question 365982: x-1/5x+4 = 2/x+2
Answer by Fombitz(32388) About Me  (Show Source):
You can put this solution on YOUR website!
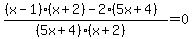
Use a common denominator, %285x%2B4%29%28x%2B2%29

%28%28x-1%29%28x%2B2%29-2%285x%2B4%29%29%2F%28%285x%2B4%29%28x%2B2%29%29=0
%28x%5E2%2Bx-2-10x-8%29%2F%28%285x%2B4%29%28x%2B2%29%29=0
%28x%5E2-9x-10%29%2F%28%285x%2B4%29%28x%2B2%29%29=0
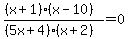
%28%28x%2B1%29%28x-10%29%29%2F%28%285x%2B4%29%28x%2B2%29%29=0
Two solutions:
x%2B1=0
highlight%28x=-1%29
.
.
.
x-10=0
highlight%28x=10%29