SOLUTION: This is the question : {{{(3)/(x+1)+(2)/(x-1)}}} Here is what I tried (not sure if I did it correct). {{{(3)/(x+1)*(x-1)/(x-1)+(2)/(x-1)*(x+1)/(x+1)}}} => {{{(3x-3)/(x+1)(x

Algebra ->  Polynomials-and-rational-expressions -> SOLUTION: This is the question : {{{(3)/(x+1)+(2)/(x-1)}}} Here is what I tried (not sure if I did it correct). {{{(3)/(x+1)*(x-1)/(x-1)+(2)/(x-1)*(x+1)/(x+1)}}} => {{{(3x-3)/(x+1)(x      Log On


   



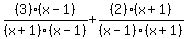
Question 364503: This is the question : %283%29%2F%28x%2B1%29%2B%282%29%2F%28x-1%29
Here is what I tried (not sure if I did it correct).
=>
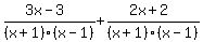
%283x-3%29%2F%28x%2B1%29%28x-1%29%2B%282x%2B2%29%2F%28x%2B1%29%28x-1%29 =>
%283x-3%2B2x%2B2%29%2F%28x%2B1%29%28x-1%29 =>
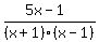
%285x-1%29%2F%28x%2B1%29%28x-1%29
I am not sure if there is another step or if I am finished.

Found 2 solutions by Fombitz, ewatrrr:
Answer by Fombitz(32388) About Me  (Show Source):
You can put this solution on YOUR website!
Yes, you did it correctly.
You've simplified as much as you can.
Well done!

Answer by ewatrrr(24785) About Me  (Show Source):
You can put this solution on YOUR website!

Hi,
Very well done!
%285x-1%29%2F%28x%2B1%29%28x-1%29
cannot be simplified any further