SOLUTION: I am having a problem simplifying this problem 2x+3/x-4-x-5/x+2 please help me.

Algebra ->  Polynomials-and-rational-expressions -> SOLUTION: I am having a problem simplifying this problem 2x+3/x-4-x-5/x+2 please help me.      Log On


   



Question 363458: I am having a problem simplifying this problem
2x+3/x-4-x-5/x+2 please help me.

Answer by mananth(16946) About Me  (Show Source):
You can put this solution on YOUR website!
%28%282x%2B3%29%2F%28x-4%29%29-%28%28x-5%29%2F%28x%2B2%29%29
LCM= (x-4)(x+2)
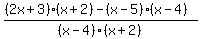
%28%282x%2B3%29%28x%2B2%29-%28x-5%29%28x-4%29%29%2F%28x-4%29%28x%2B2%29
...
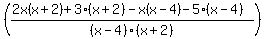
%28%282x%28x%2B2%29%2B3%28x%2B2%29-x%28x-4%29-5%28x-4%29%29%2F%28x-4%29%28x%2B2%29%29
..
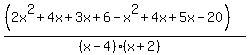
%28%282x%5E2%2B4x%2B3x%2B6-%28x%5E2-4x-5x%2B20%29%29%2F%28%28x-4%29%28x%2B2%29%29%29
...
%28%282x%5E2%2B4x%2B3x%2B6-x%5E2%2B4x%2B5x-20%29%29%2F%28%28x-4%29%28x%2B2%29%29%29
..
%28%28x%5E2%2B16x-14%29%2F%28%28x-4%29%28x%2B2%29%29%29
...
m.ananth@hotmail.ca