SOLUTION: Please help me solve this equation. x^2+5x+1 times x-1 (divided by) 7x-7 times x^2+5x+1 The instructions said, :multiply or divide as indicated. Be sure to reduce all

Algebra ->  Polynomials-and-rational-expressions -> SOLUTION: Please help me solve this equation. x^2+5x+1 times x-1 (divided by) 7x-7 times x^2+5x+1 The instructions said, :multiply or divide as indicated. Be sure to reduce all      Log On


   



Question 36060This question is from textbook Beginning Algebra -A Text/Workbook
: Please help me solve this equation.
x^2+5x+1 times x-1
(divided by)
7x-7 times x^2+5x+1

The instructions said, :multiply or divide as indicated. Be sure to reduce all answers to lowest terms. (the numerator and denominator of the answer should not have any factors in common).
This question is from textbook Beginning Algebra -A Text/Workbook

Found 2 solutions by Prithwis, elima:
Answer by Prithwis(166) About Me  (Show Source):
You can put this solution on YOUR website!
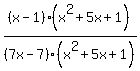
[(x^2+5x+1)(x-1)]/[(7x-7)(x^2+5x+1)] = (x-1)/7(x-1) = 1/7

Answer by elima(1433) About Me  (Show Source):
You can put this solution on YOUR website!
If I understand the problem correctly;
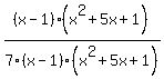
%28x-1%29%28x%5E2%2B5x%2B1%29%2F%287x-7%29%28x%5E2%2B5x%2B1%29
factor out the 7 in the denominator;
%28x-1%29%28x%5E2%2B5x%2B1%29%2F7%28x-1%29%28x%5E2%2B5x%2B1%29
cancel out (x-1)and x%5E2%2B5x%2B1
you are left with;
1%2F7
Hope you understand
=)