SOLUTION: Please help me solve this problem: (2)/x(x-1)=1+(2)/(x-1)solve for x
Algebra
->
Polynomials-and-rational-expressions
-> SOLUTION: Please help me solve this problem: (2)/x(x-1)=1+(2)/(x-1)solve for x
Log On
Algebra: Polynomials, rational expressions and equations
Section
Solvers
Solvers
Lessons
Lessons
Answers archive
Answers
Click here to see ALL problems on Polynomials-and-rational-expressions
Question 359601
:
Please help me solve this problem: (2)/x(x-1)=1+(2)/(x-1)solve for x
Answer by
Fombitz(32388)
(
Show Source
):
You can
put this solution on YOUR website!
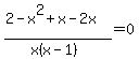
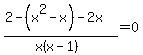
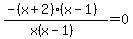
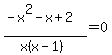
Use a common denominator,
.
.
.
.
.
.
.
.
.
.
.
.
.
.
.
.