SOLUTION: Re: Simplifying Rational Expressions and Functions I understand how to write a function in simplified form using factoring and removing the factor = to 1. However, can someone wal

Algebra ->  Polynomials-and-rational-expressions -> SOLUTION: Re: Simplifying Rational Expressions and Functions I understand how to write a function in simplified form using factoring and removing the factor = to 1. However, can someone wal      Log On


   



Question 359121: Re: Simplifying Rational Expressions and Functions
I understand how to write a function in simplified form using factoring and removing the factor = to 1. However, can someone walk me through the steps on determining the restrictions on the domain? I can't figure out how the restrictions on the domain are determined.
Write the function given by
g(x)= x^2+3x-10 / 2x^2-3x-2
in simplified form, and list all the restrictions on the domain.
Answer: g(x)= x+5/2x+1, x cannot = -1/2 and x cannot = 2
Please teach me how to determine the restrictions. Thank you. Jill

Found 2 solutions by stanbon, ewatrrr:
Answer by stanbon(75887) About Me  (Show Source):
You can put this solution on YOUR website!
Write the function given by
g(x)= x^2+3x-10 / 2x^2-3x-2
in simplified form, and list all the restrictions on the domain.
Answer: g(x)= x+5/2x+1, x cannot = -1/2 and x cannot = 2
Please teach me how to determine the restrictions.
---
1st: Factor numerator and denominator if you can.
[(x+5)(x-2)]/[(2x+1)(x-2)]
---
2nd: The function has a hole at x = 2 because you have
the factor (x-2) in the numerator and in the denominator.
---
3rd: The function is undefined at x = -1/2 because the
factor (2x+1) is zero if x = -1/2.
--------------
Comment: As you get further into algebra you will run
into Domain restrictions for two additional reasons:
a) Ex: y = sqrt(x+2)
Since x+2 must not be negative, x must be >= -2.
---
b) Ex: y = log(x+2)
Since x+2 must be positive, x must be > -2.
===============
Cheers,
Stan H.

Answer by ewatrrr(24785) About Me  (Show Source):
You can put this solution on YOUR website!

Hi,
*Note: restrictions on the domain are the values of x that cannot be used.
(those that would make the denominator zero, cannot be used, for ex)
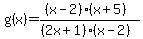
g%28x%29=+%28%28x%5E2%2B3x-10%29+%2F+%282x%5E2-3x-2%29%29
g%28x%29=+%28%28x+-2%29%28x+%2B5%29%29+%2F%28%282x%2B+1%29%28x+-2%29%29%29
This tells us the denominator would be zero if x = (-1/2) or x = 2
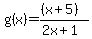
Now Simplifying further:
g%28x%29=+%28%28x+%2B5%29%29+%2F%282x%2B+1%29%29