SOLUTION: Perform the indicated operation. x-2/x^2-4x plus x+4/3x-12?

Algebra ->  Polynomials-and-rational-expressions -> SOLUTION: Perform the indicated operation. x-2/x^2-4x plus x+4/3x-12?      Log On


   



Question 351057: Perform the indicated operation. x-2/x^2-4x plus x+4/3x-12?
Answer by mananth(16947) About Me  (Show Source):
You can put this solution on YOUR website!
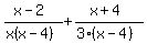
%28x-2%29%2F%28x%5E2-4x%29+%2B+%28x%2B4%29%2F%283x-12%29
%28x-2%29%2F%28x%28x-4%29%29+%2B%28x%2B4%29%2F%283%28x-4%29%29
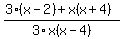
LCM =3x(x-4)
%283%28x-2%29%2Bx%28x%2B4%29%29%2F3x%28x-4%29
%283x-6%2Bx%5E2%2B4x%29%2F3x%28x-4%29
%28x%5E2%2B7x-6%29%2F3x%28x-4%29