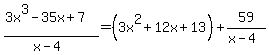
You can
put this solution on YOUR website! Use polynomial long division,
3x^2 + 12x + 13
__________________________
x - 4 | 3x^3 + 0x^2 - 35x + 7
- 3x^3 - 12x^2
------------------------
12x^2 - 35x + 7
- 12x^2 - 48x
----------------
13x + 7
- 13x - 52
---------
59
