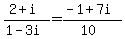
SOLUTION: Simplify: 2+i/l-3i Thank you so much for all of your help!!!!
Algebra
->
Polynomials-and-rational-expressions
-> SOLUTION: Simplify: 2+i/l-3i Thank you so much for all of your help!!!!
Log On
Algebra: Polynomials, rational expressions and equations
Section
Solvers
Solvers
Lessons
Lessons
Answers archive
Answers
Click here to see ALL problems on Polynomials-and-rational-expressions
Question 346037
:
Simplify: 2+i/l-3i
Thank you so much for all of your help!!!!
Answer by
Fombitz(32388)
(
Show Source
):
You can
put this solution on YOUR website!