SOLUTION: (1/(x^2-x)) - (1/x) = (1/(x-1))

Algebra ->  Polynomials-and-rational-expressions -> SOLUTION: (1/(x^2-x)) - (1/x) = (1/(x-1))      Log On


   



Question 345866: (1/(x^2-x)) - (1/x) = (1/(x-1))
Answer by Fombitz(32388) About Me  (Show Source):
You can put this solution on YOUR website!
Use the common denominator, x%28x-1%29=x%5E2-x
1%2F%28x%5E2-x%29-%28x-1%29%2F%28x%28x-1%29%29=x%2F%28x%28x-1%29%29
%281-%28x-1%29-x%29%2F%28x%28x-1%29%29=0
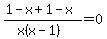
%281-x%2B1-x%29%2F%28x%28x-1%29%29=0
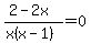
%282-2x%29%2F%28x%28x-1%29%29=0
%282%281-x%29%29%2F%28x%28x-1%29%29=0
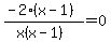
%28-2%28x-1%29%29%2F%28x%28x-1%29%29=0
-2%2Fx=0
No solution.