SOLUTION: Divide and simplify b+1/b-2 ÷ 2b+2/b-6 without the 2b in there, I'd know how to do this one (I think) thanks in advance!
Algebra
->
Polynomials-and-rational-expressions
-> SOLUTION: Divide and simplify b+1/b-2 ÷ 2b+2/b-6 without the 2b in there, I'd know how to do this one (I think) thanks in advance!
Log On
Algebra: Polynomials, rational expressions and equations
Section
Solvers
Solvers
Lessons
Lessons
Answers archive
Answers
Click here to see ALL problems on Polynomials-and-rational-expressions
Question 344888
:
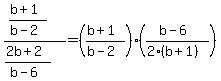
Divide and simplify
b+1/b-2 ÷ 2b+2/b-6
without the 2b in there, I'd know how to do this one (I think)
thanks in advance!
Answer by
Fombitz(32388)
(
Show Source
):
You can
put this solution on YOUR website!
Dividing by a fraction is equivalent to multiplying by its reciprocal,
.
.