SOLUTION: Perform the indicated operations and simplify x-3/x-4 - x-1/x+4 + x-12/x^2-16

Algebra ->  Polynomials-and-rational-expressions -> SOLUTION: Perform the indicated operations and simplify x-3/x-4 - x-1/x+4 + x-12/x^2-16      Log On


   



Question 344657: Perform the indicated operations and simplify
x-3/x-4 - x-1/x+4 + x-12/x^2-16

Found 2 solutions by haileytucki, MathTherapy:
Answer by haileytucki(390) About Me  (Show Source):
You can put this solution on YOUR website!
x-(3)/(x)-4-x-(1)/(x)+4+x-(12)/(x^(2))-16
Combine the numerators of all expressions that have common denominators.
x+(-3-1)/(x)-4-x+4+x-(12)/(x^(2))-16
Subtract 1 from -3 to get -4.
x+(-4)/(x)-4-x+4+x-(12)/(x^(2))-16
Move the minus sign from the numerator to the front of the expression.
x-(4)/(x)-4-x+4+x-(12)/(x^(2))-16
Since x and -x are like terms, add -x to x to get 0.
0-(4)/(x)-4+4+x-(12)/(x^(2))-16
Add 4 to -4 to get 0.
-(4)/(x)+x-(12)/(x^(2))-16
To add fractions, the denominators must be equal. The denominators can be made equal by finding the least common denominator (LCD). In this case, the LCD is x^(2). Next, multiply each fraction by a factor of 1 that will create the LCD in each of the fractions.
x*(x^(2))/(x^(2))-(4)/(x)*(x)/(x)-(12)/(x^(2))-16*(x^(2))/(x^(2))
Complete the multiplication to produce a denominator of x^(2) in each expression.
(x^(3))/(x^(2))-(4x)/(x^(2))-(12)/(x^(2))-(16x^(2))/(x^(2))
Combine the numerators of all expressions that have common denominators.
(x^(3)-4x-12-16x^(2))/(x^(2))
Reorder the polynomial x^(3)-4x-12-16x^(2) alphabetically from left to right, starting with the highest order term.
(x^(3)-16x^(2)-4x-12)/(x^(2))

Answer by MathTherapy(10552) About Me  (Show Source):
You can put this solution on YOUR website!
Perform the indicated operations and simplify
x-3/x-4 - x-1/x+4 + x-12/x^2-16

%28x+-+3%29%2F%28x+-+4%29+-+%28x+-+1%29%2F%28x+%2B+4%29+%2B+%28x+-+12%29%2F%28x%5E2+-+16%29

---- Multiplying expression by LCD, (x - 4)(x + 4)

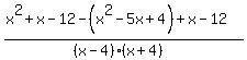
%28x%5E2+%2B+x+-+12+-+%28x%5E2+-+5x+%2B+4%29+%2B+x+-+12%29%2F%28%28x+-+4%29%28x+%2B+4%29%29 ------ Expanding numerator of expression

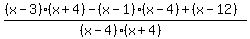
%28x%5E2+%2B+x+-+12+-+x%5E2+%2B+5x+-+4+%2B+x+-+12%29%2F%28%28x+-+4%29%28x+%2B+4%29%29

%28x%5E2+-+x%5E2+%2B+x+%2B+5x+%2B+x+-+12+-+4+-+12%29%2F%28%28x+-+4%29%28x+%2B+4%29%29 ------ Collecting like-terms in numerator

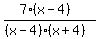
%287x+-+28%29%2F%28%28x+-+4%29%28x+%2B+4%29%29 ------ Combining like-terms in numerator

%287%28x+-+4%29%29%2F%28%28x+-+4%29%28x+%2B+4%29%29 ------ Factoring numerator

%287cross%28%28x+-+4%29%29%29%2F%28cross%28%28x+-+4%29%29%28x+%2B+4%29%29 ------ Canceling like-terms in numerator and denominator

highlight_green%287%2F%28x+%2B+4%29%29