SOLUTION: x^2+x-20/x^2-7x+12 divided by x^2 +10x=25/x^2-6x+9

Algebra ->  Polynomials-and-rational-expressions -> SOLUTION: x^2+x-20/x^2-7x+12 divided by x^2 +10x=25/x^2-6x+9      Log On


   



Question 34446: x^2+x-20/x^2-7x+12 divided by x^2 +10x=25/x^2-6x+9
Answer by longjonsilver(2297) About Me  (Show Source):
You can put this solution on YOUR website!
assuming that is the correct equation you wanted solving:


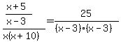
+%28%28x%2B5%29%2F%28x-3%29%29%2F%28x%28x%2B10%29%29+=+25%2F%28%28x-3%29%28x-3%29%29+
+%28x%2B5%29%2F%28x%28x%2B10%29%28x-3%29%29+=+25%2F%28%28x-3%29%28x-3%29%29+
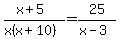
+%28x%2B5%29%2F%28x%28x%2B10%29%29+=+25%2F%28x-3%29+
+%28x%2B5%29%28x-3%29+=+25%28x%28x%2B10%29%29+
+x%5E2%2B2x-15+=+25%28x%5E2%2B10x%29+
+x%5E2%2B2x-15+=+25x%5E2%2B250x+
+2x-15+=+24x%5E2%2B250x+
+-15+=+24x%5E2%2B248x+
+0+=+24x%5E2%2B248x%2B15+
+24x%5E2%2B248x%2B15+=+0+

use the quadratic formula to solve this for x.

jon.