SOLUTION: 1. (x+4)/(x)-(2x-5)/(x+1) 2. (2-x)/(2x+6)+ x/(x^2-9) Could someone help me work this problem out because I don't understand how to solve these?

Algebra ->  Polynomials-and-rational-expressions -> SOLUTION: 1. (x+4)/(x)-(2x-5)/(x+1) 2. (2-x)/(2x+6)+ x/(x^2-9) Could someone help me work this problem out because I don't understand how to solve these?      Log On


   



Question 341606: 1. (x+4)/(x)-(2x-5)/(x+1)
2. (2-x)/(2x+6)+ x/(x^2-9)

Could someone help me work this problem out because I don't understand how to solve these?

Answer by mananth(16946) About Me  (Show Source):
You can put this solution on YOUR website!
%28x%2B4%29%2F%28x%29-%282x-5%29%2F%28x%2B1%29
LCD = x(x+1)
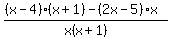
%28%28x-4%29%28x%2B1%29+-+%282x-5%29%2Ax%29%2Fx%28x%2B1%29
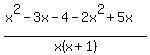
%28x%5E2-3x-4-2x%5E2%2B5x%29%2Fx%28x%2B1%29
%28x%5E2%2B2x%2B1%29%2Fx%28x%2B1%29
%28x%2B1%29%5E2%2Fx%28x%2B1%29
%28x%2B1%29%2Fx
2. (2-x)/(2x+6)+ x/(x^2-9)
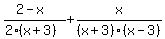
%282-x%29%2F%282%28x%2B3%29%29%2B+x%2F%28x%2B3%29%28x-3%29
2(x-3) = LCD
%282-x%29%28x-3%29%2B2x%28x-3%29%2F2%28x-3%29
%282x-6-x%5E2%2B3x%2B2x%5E2-6x%29%2F2%28x-3%29
x%5E2-x-6%29%2F2%28x-3%29
%28x-3%29%28x%2B2%29%2F%28x-3%29
%28x%2B2%29