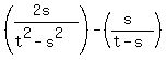
SOLUTION: Hey, I'm not so sure I'm solving this rational equation right. (2s/t^2-s^2) - (s/t-s) I keep ending up with this answer: [s(2-t-s)] / [(t+s)(t-s)] FZ

Algebra ->  Polynomials-and-rational-expressions -> SOLUTION: Hey, I'm not so sure I'm solving this rational equation right. (2s/t^2-s^2) - (s/t-s) I keep ending up with this answer: [s(2-t-s)] / [(t+s)(t-s)] FZ      Log On


   



Question 33417: Hey,
I'm not so sure I'm solving this rational equation right.
(2s/t^2-s^2) - (s/t-s)
I keep ending up with this answer:
[s(2-t-s)] / [(t+s)(t-s)]
FZ

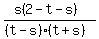
Answer by longjonsilver(2297) About Me  (Show Source):
You can put this solution on YOUR website!
+%28%282s%29%2F%28t%5E2-s%5E2%29%29+-+%28%28s%29%2F%28t-s%29%29+
+%28%282s%29%2F%28%28t-s%29%28t%2Bs%29%29%29+-+%28%28s%29%2F%28t-s%29%29+

+%282s+-+s%28t%2Bs%29%29%2F%28%28t-s%29%28t%2Bs%29%29+
+%282s-st-s%5E2%29%2F%28%28t-s%29%28t%2Bs%29%29+
+%28s%282-t-s%29%29%2F%28%28t-s%29%28t%2Bs%29%29+

You are correct, well done.

jon.