SOLUTION: Simplify the following algebraic expression: 1. 7(x^4)^5 (-4x^2)^2 2. (8x^3/27y^6)^1/3
Algebra
->
Polynomials-and-rational-expressions
-> SOLUTION: Simplify the following algebraic expression: 1. 7(x^4)^5 (-4x^2)^2 2. (8x^3/27y^6)^1/3
Log On
Algebra: Polynomials, rational expressions and equations
Section
Solvers
Solvers
Lessons
Lessons
Answers archive
Answers
Click here to see ALL problems on Polynomials-and-rational-expressions
Question 329708
:
Simplify the following algebraic expression:
1. 7(x^4)^5 (-4x^2)^2
2. (8x^3/27y^6)^1/3
Answer by
Fombitz(32388)
(
Show Source
):
You can
put this solution on YOUR website!
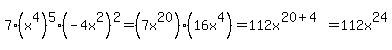
1.
.
.
.
2.