SOLUTION: what is the LCD of the fractions in hte equation 4.5x over 2x+5 + 2x over x squared?
Algebra
->
Polynomials-and-rational-expressions
-> SOLUTION: what is the LCD of the fractions in hte equation 4.5x over 2x+5 + 2x over x squared?
Log On
Algebra: Polynomials, rational expressions and equations
Section
Solvers
Solvers
Lessons
Lessons
Answers archive
Answers
Click here to see ALL problems on Polynomials-and-rational-expressions
Question 326712
:
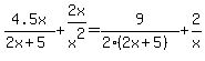
what is the LCD of the fractions in hte equation 4.5x over 2x+5 + 2x over x squared?
Answer by
Fombitz(32388)
(
Show Source
):
You can
put this solution on YOUR website!